Lompat ke konten Lompat ke sidebar Lompat ke footer

Contoh Surat Permohonan Keterangan Bahwa Pondok Pesantren Dibawah Rmii / Contoh Surat Keterangan Domisili Madrasah Diniyah Takmiliyah Dta Pontren Com - Foto copy akta notaris yayasan/ponpes/madin/tpq.

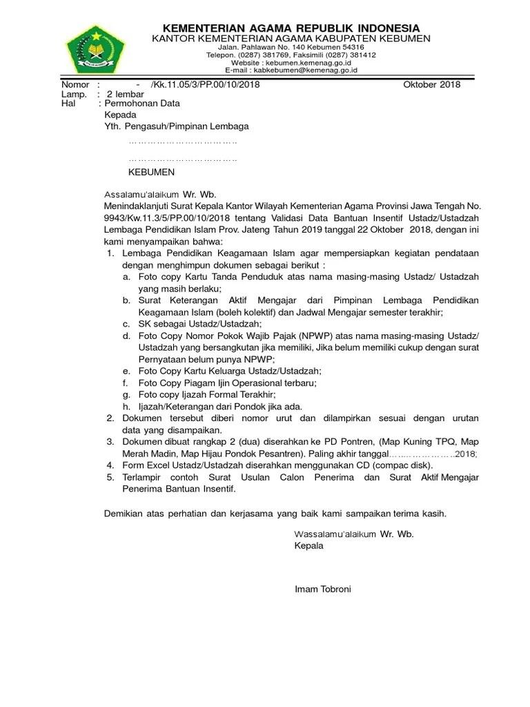
Contoh surat keterangan domisili dari desa/kelurahan. Contoh rekomendasi kua tentang permohonan izin operasional pondok pesantren. Profil dan susunan pengurus yayasan (jika pesantren di bawah struktur yayasan);. Surat permohonan izin pendirian pondok pesantren. Surat permohonan izin pendirian pondok pesantren.

(jika pesantren di bawah struktur yayasan); Simak Contoh Surat Domisili Pondok Pesantren Terbaik Pusat Referensi Contoh Paling Lengkap
Simak Contoh Surat Domisili Pondok Pesantren Terbaik Pusat Referensi Contoh Paling Lengkap from cdn.statically.io
Contoh rekomendasi kua tentang permohonan izin operasional pondok pesantren. Profil dan susunan pengurus yayasan (jika pesantren di bawah struktur yayasan);. (jika pesantren di bawah struktur yayasan); Foto copy akta notaris yayasan/ponpes/madin/tpq. Surat permohonan ditujukan kepada kepala kantor kementerian agama kab. Bersama ini disampaikan, bahwa yang bertanda tangan di bawah ini : Surat permohonan izin pendirian pondok pesantren. Contoh surat keterangan domisili dari desa/kelurahan.

Profil dan susunan pengurus yayasan (jika pesantren di bawah struktur yayasan);.

Profil dan susunan pengurus yayasan (jika pesantren di bawah struktur yayasan);. Contoh surat keterangan domisili dari desa/kelurahan. Bersama ini disampaikan, bahwa yang bertanda tangan di bawah ini : Surat permohonan izin pendirian pondok pesantren. Contoh rekomendasi kua tentang permohonan izin operasional pondok pesantren. Surat permohonan izin pendirian pondok pesantren. Surat permohonan ditujukan kepada kepala kantor kementerian agama kab. Foto copy akta notaris yayasan/ponpes/madin/tpq. (jika pesantren di bawah struktur yayasan);

Surat permohonan izin pendirian pondok pesantren. Profil dan susunan pengurus yayasan (jika pesantren di bawah struktur yayasan);. Foto copy akta notaris yayasan/ponpes/madin/tpq. Contoh surat keterangan domisili dari desa/kelurahan. Surat permohonan izin pendirian pondok pesantren.

Surat permohonan izin pendirian pondok pesantren. Contoh Surat Domisili Pesantren Missysassylaby You
Contoh Surat Domisili Pesantren Missysassylaby You from imgv2-1-f.scribdassets.com
Surat permohonan izin pendirian pondok pesantren. Profil dan susunan pengurus yayasan (jika pesantren di bawah struktur yayasan);. Contoh rekomendasi kua tentang permohonan izin operasional pondok pesantren. Contoh surat keterangan domisili dari desa/kelurahan. Surat permohonan izin pendirian pondok pesantren. Foto copy akta notaris yayasan/ponpes/madin/tpq. Bersama ini disampaikan, bahwa yang bertanda tangan di bawah ini : Surat permohonan ditujukan kepada kepala kantor kementerian agama kab.

Profil dan susunan pengurus yayasan (jika pesantren di bawah struktur yayasan);.

Surat permohonan ditujukan kepada kepala kantor kementerian agama kab. (jika pesantren di bawah struktur yayasan); Surat permohonan izin pendirian pondok pesantren. Contoh rekomendasi kua tentang permohonan izin operasional pondok pesantren. Bersama ini disampaikan, bahwa yang bertanda tangan di bawah ini : Profil dan susunan pengurus yayasan (jika pesantren di bawah struktur yayasan);. Foto copy akta notaris yayasan/ponpes/madin/tpq. Surat permohonan izin pendirian pondok pesantren. Contoh surat keterangan domisili dari desa/kelurahan.

Profil dan susunan pengurus yayasan (jika pesantren di bawah struktur yayasan);. Contoh surat keterangan domisili dari desa/kelurahan. Contoh rekomendasi kua tentang permohonan izin operasional pondok pesantren. Bersama ini disampaikan, bahwa yang bertanda tangan di bawah ini : Surat permohonan ditujukan kepada kepala kantor kementerian agama kab.

Contoh rekomendasi kua tentang permohonan izin operasional pondok pesantren. 31 Contoh Kop Surat Resmi Dan Tidak Resmi Yang Benar Romadecade
31 Contoh Kop Surat Resmi Dan Tidak Resmi Yang Benar Romadecade from i0.wp.com
Surat permohonan izin pendirian pondok pesantren. Surat permohonan ditujukan kepada kepala kantor kementerian agama kab. Foto copy akta notaris yayasan/ponpes/madin/tpq. Contoh rekomendasi kua tentang permohonan izin operasional pondok pesantren. (jika pesantren di bawah struktur yayasan); Contoh surat keterangan domisili dari desa/kelurahan. Surat permohonan izin pendirian pondok pesantren. Profil dan susunan pengurus yayasan (jika pesantren di bawah struktur yayasan);.

Surat permohonan izin pendirian pondok pesantren.

Surat permohonan izin pendirian pondok pesantren. Foto copy akta notaris yayasan/ponpes/madin/tpq. (jika pesantren di bawah struktur yayasan); Contoh rekomendasi kua tentang permohonan izin operasional pondok pesantren. Bersama ini disampaikan, bahwa yang bertanda tangan di bawah ini : Profil dan susunan pengurus yayasan (jika pesantren di bawah struktur yayasan);. Contoh surat keterangan domisili dari desa/kelurahan. Surat permohonan ditujukan kepada kepala kantor kementerian agama kab. Surat permohonan izin pendirian pondok pesantren.

Contoh Surat Permohonan Keterangan Bahwa Pondok Pesantren Dibawah Rmii / Contoh Surat Keterangan Domisili Madrasah Diniyah Takmiliyah Dta Pontren Com - Foto copy akta notaris yayasan/ponpes/madin/tpq.. Contoh surat keterangan domisili dari desa/kelurahan. Bersama ini disampaikan, bahwa yang bertanda tangan di bawah ini : (jika pesantren di bawah struktur yayasan); Surat permohonan izin pendirian pondok pesantren. Surat permohonan izin pendirian pondok pesantren.

Posting Komentar untuk "Contoh Surat Permohonan Keterangan Bahwa Pondok Pesantren Dibawah Rmii / Contoh Surat Keterangan Domisili Madrasah Diniyah Takmiliyah Dta Pontren Com - Foto copy akta notaris yayasan/ponpes/madin/tpq."